Жидкокристаллические полимеры (LCP): современная альтернатива арамидам и СВМПЭ в промышленном применении
Требования к высокотехнологичным текстильным материалам в аэрокосмической, кабельной, такелажной и оборонной отраслях постоянно растут. В условиях, где критичны термостойкость, минимальная ползучесть и устойчивость к агрессивным средам, традиционные решения на основе арамидов или высокомодульного полиэтилена (СВМПЭ) не всегда обеспечивают оптимальный баланс характеристик. Именно здесь на первый план выходят нити на основе жидкокристаллических полимеров (LCP) – инновационный материал, сочетающий исключительную прочность с уникальной стабильностью свойств в экстремальных условиях.
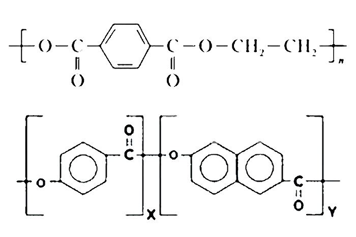
LCP (Liquid Crystal Polymer – жидкокристаллический полимер) являются современной альтернативой пара-арамидным нитям и представляют собой ароматические полиэфирные нити с высокоориентированной жидкокристаллической структурой. По химической природе они родственны классическому полиэтилентерефталату (ПЭТФ) – полиэфирным нитям. Однако благодаря особой молекулярной организации демонстрируют принципиально иной уровень эксплуатационных показателей. Наиболее известная торговая марка материала – Vectran®.
Производственная программа включает две серии мультифиламентных не крученых нитей:
формула перевода: текс = денье / 9
Стандартное содержание замасливателя в LCP-нитях составляет 1,0–2,0 масс.%, однако для специализированных применений (например, производство парашютных строп или текстильных лент) уже сегодня доступны модификации с содержанием до 8 масс.% (с линейными плотностями 100D, 200D, 400D и 1500D).
LCP-нити исключительно инертны к большинству промышленных реагентов:
Исключения: концентрированная серная кислота и кипящие щелочи разрушают полимерную структуру. При проектировании изделий с использованием LCP-волокон рекомендуется учитывать эти ограничения на этапе выбора материалов.
С 2025 года в РФ действует государственная программа финансирования производства собственных LCP-полимеров. В среднесрочной перспективе ожидается появление отечественных марок материала, что повысит доступность технологии для промышленных предприятий и снизит зависимость от импорта.
Развитие полимерной отрасли в России создаёт благоприятные условия для внедрения передовых материалов в отечественное производство.
LCP-нити представляют собой технологически обоснованную альтернативу традиционным высокотехнологичным волокнам. Для специалистов, выбирающих материалы для ответственных промышленных применений, ключевым преимуществом LCP является комплексная стабильность свойств: материал не «проседает» по одному параметру ради улучшения другого, а сохраняет сбалансированные характеристики в широком диапазоне эксплуатационных условий.
При подборе конкретной марки нити рекомендуется учитывать не только линейную плотность и серию (High Strength / High Modulus), но и требования к содержанию замасливателя, условиям поставки и совместимости с технологическим процессом конечного изделия.
Статья подготовлена на основе технических спецификаций производителей и актуальных отраслевых данных. Для подбора материала под конкретную задачу рекомендуем обратиться к техническим специалистам «Петроканат».
Подписывайтесь на Telegram-канал Petrokanat Industry!
Что такое LCP-нити?
LCP (Liquid Crystal Polymer – жидкокристаллический полимер) являются современной альтернативой пара-арамидным нитям и представляют собой ароматические полиэфирные нити с высокоориентированной жидкокристаллической структурой. По химической природе они родственны классическому полиэтилентерефталату (ПЭТФ) – полиэфирным нитям. Однако благодаря особой молекулярной организации демонстрируют принципиально иной уровень эксплуатационных показателей. Наиболее известная торговая марка материала – Vectran®.
Производственная программа включает две серии мультифиламентных не крученых нитей:
| Серия | Линейные плотности (D) | Текс (tex) |
| High Strength | 5D, 10D, 15D, 25D, 50D, 55D, 100D, 200D, 400D, 500D, 750D, 1000D, 1500D, 3000D | 0,5–333 текс |
| High Modulus | 1000D, 1500D, 3000D | 111–333 текс |
Стандартное содержание замасливателя в LCP-нитях составляет 1,0–2,0 масс.%, однако для специализированных применений (например, производство парашютных строп или текстильных лент) уже сегодня доступны модификации с содержанием до 8 масс.% (с линейными плотностями 100D, 200D, 400D и 1500D).
Ключевые физико-механические свойства LCP
- Температурный диапазон эксплуатации: от -196 °С до +280 °С (кратковременно до +315 °С). Такая термостабильность делает LCP востребованным материалом в аэрокосмической отрасли и высокотемпературных промышленных процессах.
- Низкое водопоглощение: ~0,04% (при 23 °С, 24 ч, погружение). Это свойство критично для морского такелажа и изделий, эксплуатируемых во влажной среде.
- Трудногорючесть: класс V0 по UL94 без применения антипиренов, малодымные. Материал соответствует строгим требованиям пожарной безопасности без дополнительной химической обработки.
- Высокая степень кристаллизации: обеспечивает стабильность прочности вплоть до температуры плавления (~276 °С).
- Низкий коэффициент термического расширения: сопоставим со сталью и керамикой, что минимизирует деформации при температурных колебаниях.
- Диэлектрические свойства: высокие показатели, устойчивость к γ-излучению – важное преимущество для кабельной промышленности и электротехнических применений.
- Гидролитическая стабильность: сохранение характеристик в кипящей воде, что отличает LCP от многих других высокотехнологичных полимеров.
Химическая стойкость жидкокристаллических полимеров
LCP-нити исключительно инертны к большинству промышленных реагентов:
- Устойчивы к ароматическим и галогеносодержащим углеводородам.
- Не подвержены растрескиванию под напряжением в присутствии сильных кислот и оснований.
- Стабильны в кетонах и других агрессивных средах при повышенных температурах.
Исключения: концентрированная серная кислота и кипящие щелочи разрушают полимерную структуру. При проектировании изделий с использованием LCP-волокон рекомендуется учитывать эти ограничения на этапе выбора материалов.
Сравнительные преимущества LCP перед арамидами и СВМПЭ
Ползучесть (Creep)
При нагрузке 30% от разрывной и температуре +23 °С ползучесть LCP-волокон значительно ниже, чем у арамидных аналогов. Это критично для долгонагруженных конструкций: такелажа, тросов, армирующих элементов кабелей, где недопустима постепенная деформация под постоянной нагрузкой.Усталость при изгибе (Flex Fatigue)
Многократное развёртывание, упаковка/распаковка, циклические изгибы – типичные сценарии для парусного такелажа, временных конструкций, надувных систем. Тестирование нитей 1500D показало, что LCP-материалы превосходят арамиды и PBO-волокна (Zylon®) по количеству циклов до разрушения.Стойкость к истиранию (Yarn-on-Yarn Abrasion)
По методике Института канатов (The Cordage Institute, CI-1503), имитирующей трение смежных нитей в канате или месте сращивания, LCP-нити демонстрируют лучшее сочетание показателей в сухом и влажном состоянии по сравнению с арамидами и высокомодульным полиэтиленом (HMPE/СВМПЭ). Это особенно важно для морского такелажа и грузоподъёмных систем.
Области применения LCP-материалов
- Аэрокосмическая отрасль. Подушки безопасности и стропы посадочных систем (пример – марсоход Mars Pathfinder, 1997 г.). LCP-ткани обеспечивают надёжную защиту при экстремальных перегрузках и температурных перепадах.
- Баллистика и защитная экипировка. Инновационная альтернатива пара-арамидам (Кевлар®) с улучшенной огнестойкостью и химической стойкостью. Рынок материалов LCP продолжает расти благодаря спросу на лёгкие и высокопрочные решения для оборонного сектора.
- Спецодежда. Многослойные композитные ткани (например, 71% полиамид + 29% LCP) для работы в условиях повышенных температур и химической опасности.
- Морской такелаж. Фалы, шкоты, тросы для высокотехнологичных парусных судов. Низкое водопоглощение и стойкость к УФ-излучению обеспечивают длительный срок службы без потери прочности.
- Кабельная промышленность. Армирование, оплётка, термостойкие элементы. Высокие диэлектрические показатели и стабильность размеров делают LCP-нити предпочтительным выбором для силовых и сигнальных кабелей.
- Плоскосворачиваемые рукава и технические текстильные изделия. Применение в системах пожаротушения, гидравлике и промышленной автоматизации.
Перспективы локализации LCP (Liquid Crystal Polymer)
С 2025 года в РФ действует государственная программа финансирования производства собственных LCP-полимеров. В среднесрочной перспективе ожидается появление отечественных марок материала, что повысит доступность технологии для промышленных предприятий и снизит зависимость от импорта.
Развитие полимерной отрасли в России создаёт благоприятные условия для внедрения передовых материалов в отечественное производство.
Почему стоит рассмотреть LCP-волокно для вашего проекта?
| Параметр | Суть |
| Термостойкость | Работа от криогенных температур до +280 °С |
| Стабильность размеров | Минимальная ползучесть и КТР |
| Долговечность | Высокая усталостная прочность при изгибе |
| Химическая инертность | Совместимость с агрессивными средами |
| Безопасность | Трудногорючесть без антипиренов, низкое дымовыделение |
| Универсальность | Широкий диапазон линейных плотностей и модификаций |
Заключение
LCP-нити представляют собой технологически обоснованную альтернативу традиционным высокотехнологичным волокнам. Для специалистов, выбирающих материалы для ответственных промышленных применений, ключевым преимуществом LCP является комплексная стабильность свойств: материал не «проседает» по одному параметру ради улучшения другого, а сохраняет сбалансированные характеристики в широком диапазоне эксплуатационных условий.
При подборе конкретной марки нити рекомендуется учитывать не только линейную плотность и серию (High Strength / High Modulus), но и требования к содержанию замасливателя, условиям поставки и совместимости с технологическим процессом конечного изделия.
Статья подготовлена на основе технических спецификаций производителей и актуальных отраслевых данных. Для подбора материала под конкретную задачу рекомендуем обратиться к техническим специалистам «Петроканат».
Подписывайтесь на Telegram-канал Petrokanat Industry!